首页 · 鸽闻 · 公棚 · 协会 · 俱乐部 · 商城 · 论坛 · 鸽问 · 拍鸽 · 分类 · 鸽业 · 寻鸽 · 播客 · 鸽舍 · APP · 会员区
中国信鸽信息网
中信网
在线铭鸽展售
鸽具用品展售

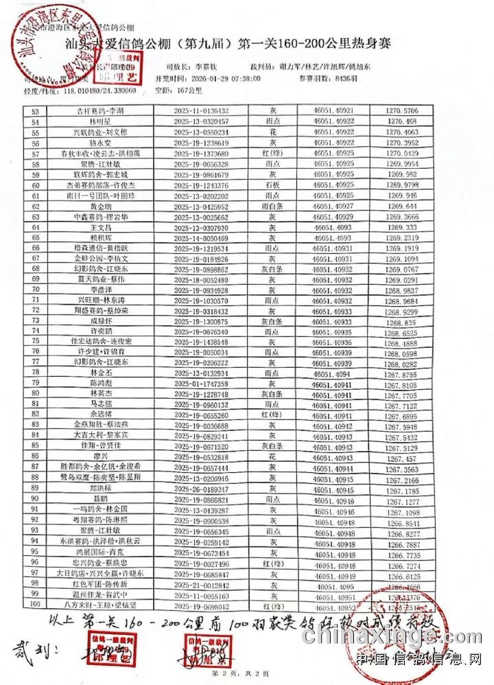
汕头市澄海区东里大爱信鸽公棚(第九届)第一关160-200公里热身赛比赛成绩单


2026-1-29 10:53:17 汕头市澄海区东里大爱信鸽公棚   分享




 

 发布时间:2026-1-29 10:53:17 刷新时间:2026-1-29 10:53:17 打印此页关闭窗口
 提示:如果此页面是训放清单,要想快速查询鸽环号,请按Ctrl+F然后输入您要查找的环号进行查找!
 近期信息:
  • 汕头市澄海区东里大爱信鸽公棚(第九届)精英赛第一关有效名单(取当天19:00) (2026-1-29 19:12:40)
  • 汕头市澄海区东里大爱信鸽公棚(第九届)第一关160-200公里热身赛项目报名成绩单 (2026-1-29 11:11:59)
  • 汕头大爱信鸽公棚(第九届)第一关160-200公里热身赛归巢数据链接(7:38开笼) (2026-1-29 8:00:23)
  • 汕头市澄海区东里大爱信鸽公棚(第九届)第一关160-200公里热身赛集鸽现场图集 (2026-1-29 1:06:55)
  • 汕头市澄海区东里大爱信鸽公棚(第九届)第一关160-200公里热身赛无上笼退报名费清单 (2026-1-29 0:32:44)
  • 汕头市澄海区东里大爱信鸽公棚(第九届)第一关160-200公里热身赛集鸽上笼清单 (2026-1-29 0:19:52)
  • 汕头市澄海区东里大爱信鸽公棚(第九届)160-200公里第一关热身赛监放通知 (2026-1-28 16:17:14)
  • 汕头市澄海区东里大爱信鸽公棚(第九届)160-200公里第一关热身赛开笼公告 (2026-1-28 9:33:22)
  • 汕头市澄海区东里大爱信鸽公棚(第九届)团体分组名单(已确认) (2026-1-27 10:17:51)
  • 汕头大爱信鸽公棚160-200公里热身赛单羽养训技能赛规程 (2026-1-25 15:20:42)

  • 手机中信网

     相关评论: 我要评论


    回页顶
    以上信息由公棚平台内企业自行发布提供,该企业负责信息内容的真实性、准确性和合法性,如有疑问请电话联系对应公棚咨询

    首页推广方式客服中心加盟中心合作平台意见建议网站导航APP下载

    Copyright © 2000-2026 www.ChinaXinge.com All Rights Reserved
    中国.深圳 电话: 0755-28156678、28156809 传真: 0755-28156678
    我要投稿 建议反馈及投诉
    《中华人民共和国增值电信业务经营许可证》ICP证编号:粤B2-20040374
    粤公网安备 44030902002110号